当前位置: 首页 » 锻件资讯 » 技术技巧 » 技术技巧 » 正文

各类锻件的锻后冷却与热处理规范

放大字体  缩小字体 发布日期:2018-05-02  来源:锻件网  浏览次数:480
核心提示:锻件锻后冷却和热处理方式,包括锻后冷却、退火(低温退火、中间退火、完全退火、等温退火等)、 正火及回火、调质、等温冷却及

锻件锻后冷却和热处理方式,包括锻后冷却、退火(低温退火、中间退火、完全退火、等温退火等)、 正火及回火、调质、等温冷却及起伏等温退火等,


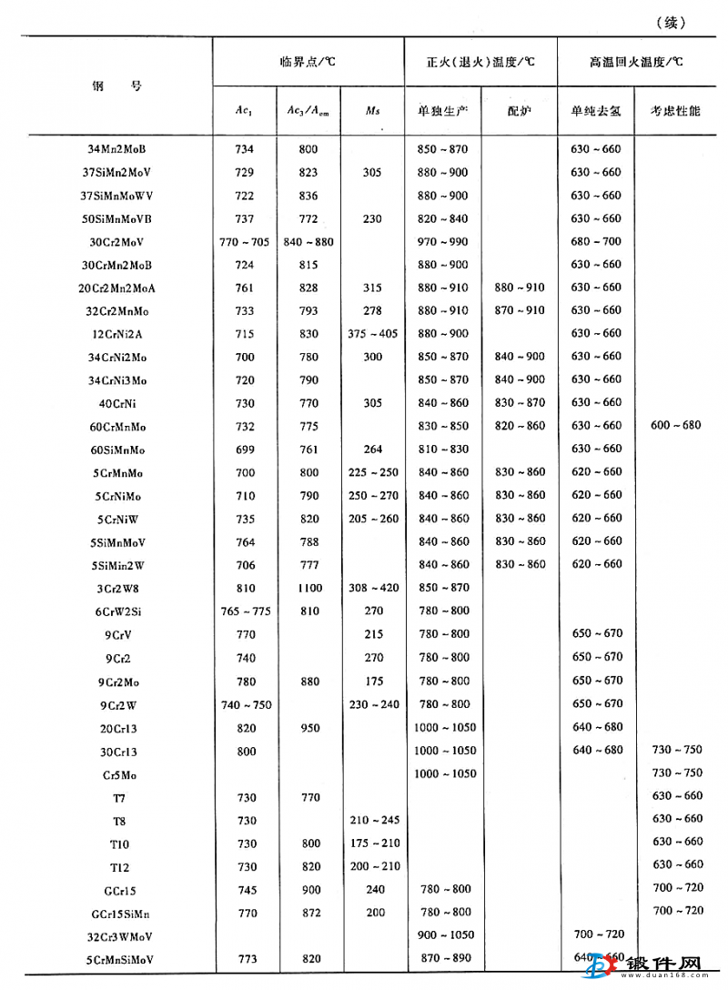
锻件冷却和热处理规范是根据钢的化学成分、传热截面尺寸、锻件技术要求并考虑白点敏感性及回火脆性倾向而制订的。

用钢锭锻制锻件的冷却方式见下表。


锻件加热与冷却打效截面尺寸的确定方法见表



更多锻件资讯请关注 锻件网 www.webbiamo.com

 
关键词: 锻件
 
[ 锻件资讯搜索 ]  [ 打印本文

 

 
推荐图文
推荐锻件资讯
点击排行


关闭

微信关注

扫一扫

关注锻件网

微信二维码

TOP